近期,由航空学院李楠、叶正寅、张伟伟团队的研究成果《双重激波/湍流边界层干扰的时均结构与非定常特征》(On the mean structure and unsteadiness of dual shock wave–turbulent boundary layer interactions)在流体力学顶级期刊《Journal of Fluid Mechanics》上刊发。该研究团队通过深入探讨激波与湍流边界层之间的相互作用,揭示了其时均结构和非定常特征。区别于以往针对单一激波干扰流动的研究,该研究重点关注承受过激波扰动的边界层如何再继续响应额外的激波干扰,为超声速/高超声速进气道内复杂形式的激波/边界层干扰现象提供了新的认识。这项研究不仅在学术界引起了广泛关注,而且对于航空航天工程、高速飞行器设计以及相关领域的技术进步具有重要的实际意义。

Journal of Fluid Mechanics, 2024, 999, A3,https://doi.org/10.1017/jfm.2024.760
研究提到,边界层遭遇连续的激波干扰是超声速内部流动区别于超声速外部绕流的一个显著特征。例如超声速/高超声速进气道中,几何构型以及激波在通道内的反射导致有限的流向范围内会存在多处激波/边界层干扰区。激波/边界层干扰的特性,如流场畸变、边界层松弛(relaxing boundary layer)等现象,使得这些干扰区之间会以复杂的方式进行相互作用。

图1 两个激波/边界层干扰区不同间距下流场特征,其中PIV获取的流向速度脉动与时均纹影图像进行了叠加
(a)分离区通过受阻滞边界层向上游延伸,受上游入射激波干扰下游干扰区低频振荡增强
(b)分离区通过松弛边界层向下游扩张,干扰区高频振荡通过剪切层进行传递

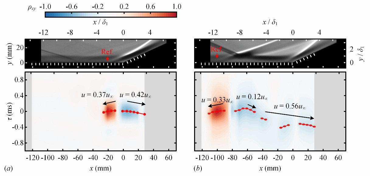
图2 激波/边界层干扰区内低频扰动传播特征
(a)激波干扰强度较小时,入流边界层扰动占据低频振荡的主导地位
(b)激波干扰强度较大时,分离泡呼吸作用占据低频振荡的主导地位
本研究结合了粒子图像测速技术(PIV)以及高时间解析度压力测量、纹影系统,分析了不同间距下干扰区中分离激波、剪切层、分离泡的发展规律以及流动之间的相互作用机理。结果表明,激波干扰所带来的受阻滞或处于松弛状态的边界层对干扰区内流动分离和再附具有重要影响;激波干扰带来的流场畸变也会对下游干扰区的起始位置、低频振荡带来一定影响;干扰区的扰动也可通过松弛边界层传播至下游。此外,研究也同时观察到了与激波干扰非定常特性根源相关的“上游机制”和“下游机制”,证实了两者同时存在于激波干扰流动中,其各自的主导地位与激波干扰强度密切相关。
(文字:李楠;审核:李斌)