
原文链接:
https://pubs.acs.org/doi/10.1021/jacs.3c10538
全文速览
电子化合物(Electride)是一种特殊类型的材料,其局域于晶格间隙中的电子,可表现阴离子特性,被称为“阴离子性”电子(anionic electron)。电子化合物独特的电子结构赋予其优异的导电性、催化活性以及还原性,在合成氨催化、可充电电池、超导体、电子发射体、有机发光二极管(OLED)和自旋电子器件等领域展现出广阔的应用前景。近年来,多种新型电子化合物相继被发现和研究,为催化材料、电子器件的开发和理论研究提供了新的材料基础。
数据库外巨大的潜在化学空间为电子化合物寻找提供了更多的可能。但是巨大的筛选空间也对研究方法提出了挑战。因此,开发高效寻找新型电子化合物的研究方法成为当务之急。近期,beat365平台官方网站王俊杰教授与比利时鲁汶天主教大学Gian-Marco Rignanese教授合作,首次将机器学习方法引入电子化合物的搜索研究,从包含14437个候选化合物的化学空间中筛选出了145种具有不同局域电荷密度的新型A2BC2电子化合物,并合成了三种代表性材料(“富电子”型电子化合物:Nd2ScSi2和La2YbGe2,“缺电子”型电子化合物:Y2LiSi2)。实验证实,通过间隙电荷浓度的调控,“缺电子型”电子化合物Y2LiSi2被用作合成氨催化剂载体时,兼具优异的耐氧化稳定性和催化活性,这为未来电子化合物在催化材料领域的应用提供了新的重要研究方向。相关研究成果以Machine Learning-Accelerated Discovery of A2BC2 Ternary Electrides with Diverse Anionic Electron Densities为标题发表在材料领域权威学术期刊Journal of the American Chemical Society上(J. Am. Chem. Soc. 2023, 145, 48, 26412–26424)。
该工作的第一作者为beat365平台官方网站材料学院博士生王志旗,通讯作者为王俊杰教授。合作作者包括:材料学院巩玉同副教授、王诗尧博士、博士生苗楠茜、21级本科生严余靖和郑睿恒;比利时鲁汶天主教大学Gian-Marco Rignanese教授和Matthew L. Evans博士。
背景介绍
在寻找新型电子化合物时,价电子富余规则(即晶体结构内的阳离子可提供超过阴离子接纳数量的电子)一般被认为是需要遵守的第一原则。然而,2021年王俊杰教授带领的研究小组,通过理论计算设计了一种具有价电子缺乏特征的化合物Ca5Pb3(5个Ca原子可给出10个价电子,不能满足3个Pb4-离子的最大价电子需求)。理论计算发现,在施加外压时,部分电荷可以从Pb4-的轨道转移到晶格间隙,从而形成电子化合物态。这一理论发现打破了电子化合物仅能存在于价电子富余体系这一规则,极大拓展了电子化合物的搜索空间,将电子化合物研究推进到“后价电子富余”阶段(详见Journal of the American Chemical Society 2021, 143 (23), 8821-8828)。
同时,这一研究进展也提出了新的科学挑战:
(1)“缺电子”型电子化合物能否在实验中被真正合成?
(2)“缺电子”型电子化合物相较传统“富电子”型电子化合物优势何在?
(2)失去“价电子富余”这一筛选规则,如何高效筛选新型电子化合物?
本文为回答以上问题,开展仅针对电子化合物的电荷局域特征的人工智能设计,预测出一系列具有不同电荷浓度的电子化合物,并开展系统实验验证。本文研究说明,人工智能方法的引入可为电子化合物的发现和研究注入新的活力,必将在这一领域发挥越来越重要的作用。
本文亮点
本文首次将机器学习方法引入新型电子化合物的搜索,结合高通量从头算计算筛选,在结构原型为A2BC2(空间群P4/mbm,编号127)的三元化合物中发现电化物。从近14,500种可能的化合物中筛选出145种(44种稳定和115种亚稳定)具有不同阴离子电子密度的A2BC2新型电子化合物。此外,预测结果通过实验得到了验证:两个富电子型(Nd2ScSi2和La2YbGe2)和一个缺电子型(Y2LiSi2)新型电子化合物被成功合成并作为合成氨催化剂进行了研究。
图文解析
本工作设计了包括机器学习、高通量计算和实验验证的新型电子化合物研究框架。首先通过结合高通量计算和机器学习相结合的方法进行了新型三元电子化合物的理论筛选。将从数据库中筛选出的214种A2BC2化合物的局域电荷参数ELFmax作为训练集,训练得到性能最优的机器学习模型。然后将该模型应用于构建的预测数据集,筛选出可能的电子化合物结构,并通过进一步的高通量计算筛选,得到具有高稳定性的新型A2BC2电子化合物。最终,通过实验合成所设计新型电子化合物,验证了理论预测的可靠性。

图1. 新型A2BC2电子化合物筛选研究框架
本文的输入数据集是通过收集Materials Project数据库中214种现有A2BC2化合物并计算其ELFmax构建的。在这一过程中确定了42种新型的A2BC2电子化合物。之后,将其随机分为90%的训练集和10%的测试集。预测数据集是通过简单的元素替换策略构建的,没有考虑体系电荷平衡条件。通过从现有的A2BC2化合物中替换元素(A、B和C位分别有21、29和25个候选元素),生成了15225种潜在化合物。在排除输入数据集中已经存在的化合物后,预测数据集包含14437种三元A2BC2化合物。

图2. 数据集构建:(a)A2BC2结构示例(Yb2MgP2)及其ELF;(b)ELFmax示意图;(c)214种现有A2BC2化合物的ELFmax分布;(d)预测数据集所涉及的元素
为了限制特征维度,本文使用包装法进行特征选择。使用GBRT算法获得的特征重要性得分来迭代地删除特征,在每一步中使用剩余的特征训练ML模型。重复该过程,直至只剩下一个特征。为了在保持高精度的同时降低模型的复杂度,最终使用11个特征进行模型构建。特征重要性分数结果表明了不同特征对目标值的影响程度。在随机100次测试后,模型在测试数据集上表现优异,RMSE和R2分别为0.034和0.957。

图3. 机器学习模型训练:(a)特征提取过程;(b)特征重要性排序;(c)模型表现效果。
基于机器学习的特征提取结果进一步分析可以得出结论:A和B原子对间隙电子的形成有直接影响,而C原子则通过相对极化性间接影响间隙电子的出现,这在以前的研究中并未被提及过。本文研究揭示,机器学习可有助于研究者更好地理解A2BC2化合物中间隙电子的形成机制。虽然上述借助机器学习获得的机制仅基于A2BC2原型,但它可能有助于研究者理解、设计和发现具有其他结构原型的新型电子化合物。

图4. 间隙电子形成分析:(a)χ(A – B);(b)χ(B);(c)α(B – C);(d)α(B);(e)α(A – C);(f)间隙电子形成的示意图
基于预测结果,本研究成功合成了两种新的富电子电子化合物(Nd2ScSi2和La2YbGe2)和一种缺电子电子化合物(Y2LiSi2)。计算的电子结构表明三种电子化合物间隙电子的能级接近相应的费米能级,属于电子化合物的典型特征。其中,Y2LiSi2是首个在常压下合成的“缺电子”型电子化合物。

图5. 预测的A2BC2电子化合物的晶体和电子结构。XRD结果:Nd2ScSi2(a)La2YbGe2(b)Y2LiSi2(c)。计算的电子结构:Nd2ScSi2(d)La2YbGe2(e)Y2LiSi2(f)
TPD测试和氢气脱出能计算结果表明,三个合成的新型电子化合物均具有在低温下进行可逆储存氢的能力。UPS和功函数计算结果表面,三者均具有较低的表面功函数。上述两个性质赋予了三者作为合成氨催化剂载体的潜力。

图6. 氢储存性能和功函数:(a)TPD谱图;(b)计算得到的氢脱出能量变化;(c-e)通UPS测试的功函数
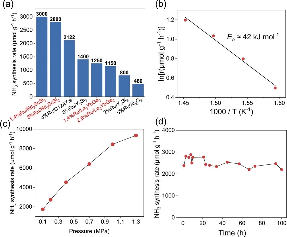
与传统氧化物/电子化合物负载型催化剂相比,富电子型A2BC2电子化合物具有优异的合成氨催化性能。3%Ru/Nd2ScSi2的表观活化能为42 kJ mol-1,与其他电子化合物基催化剂相当。3%Ru/Nd2ScSi2的催化活性随压力增加单调增加,显示出电子化合物在解决氢中毒问题方面的重要优势。在稳定性测试中,3%Ru/Nd2ScSi2催化剂在经历100小时的连续反应后,没有明显的失活现象。

图7. 富电子型A2BC2电子化合物的合成氨性能评估:(a)在400°C和0.1 MPa条件下催化剂的活性比较;(b)Ru/Nd2ScSi2的表观活化能测试;(c)3%Ru/Nd2ScSi2在不同压力下的活性测试;(d)3%Ru/Nd2ScSi2的活性稳定性测试
本文研究发现,“缺电子”型电子化合物Y2LiSi2展示出优异的化学稳定性和活性稳定性。在水中搅拌5天后,4.9%Ru/Y2LiSi2仍保持了接近原来80%的合成氨活性。研究表明,4.9%Ru/Y2LiSi2显示出低表观活化能和高压抗氢毒化能力,是典型的电子化合物基合成氨催化剂。通过分析三种催化剂的间隙电子和合成氨活性之间的关系,本文研究发现高间隙电子浓度能够明显促进催化剂合成氨活性,而低电子浓度使催化剂具有高的化学稳定性。

图8. 缺电子型电子化合物Y2LiSi2的催化合成氨性能和机理:(a)Ru/Y2LiSi2的催化活性;(b)4.9%Ru/Y2LiSi2的表观活化能测试;(c)不同压力下4.9%Ru/Y2LiSi2的催化活性;(d)Nd2ScSi2,La2YbGe2和Y2LiSi2的Bader电荷和ELF
总结与展望
本研究通过结合机器学习和高通量密度泛函理论计算,系统地筛选新的A2BC2电子化合物,共确定了44种稳定的和115种亚稳定的A2BC2电子化合物,包括富电子型、平衡电子型和缺电子型。本研究的机器学习研究不仅加速了新型电子化合物的发现,而且通过解释训练模型的特征重要性,揭示了电子化合物形成的新机制。除了阳离子的电负性之外,阴离子和阳离子的相对极化性也间接地对间隙电子的形成产生重要影响。
实验上成功合成了两种“富电子”型电子化合物La2YbGe2和Nd2ScSi2和首个“缺电子”型电子化合物Y2LiSi2。Y2LiSi2在化学稳定性和催化性能之间表现出优异的平衡性,即使在用水洗涤样品5天后仍能保持高的化学稳定性。
本研究系统的回答了“后价电子富余”阶段的三大问题:“缺电子”型电子化合物可以在常压下合成,同时显示出化学稳定性和催化活性的出色平衡,将是未来电子化合物催化材料的重点研究方向。同时,在失去“价电子富余”这一电子化合物设计规则后,人工智能技术将是发现新型电子化合物的有力工具。
(文字:材料学院;审核:禹亮)